Overview
Bitcoin 的第一个 Block 数据
1 | { |
可以看到,block 数据里面有一个 key 是 merkleroot ,同时在这个 block 里面 merkleroot 的值和 tx 的值相同。
一个简单的 Merkle Tree 过程

Bitcoin 创世区块中因为只有一个 tx ,所以自然 merkleroot 和叶子节点的数据相同。
什么是 Merkle Tree?
MerkleTree 是一棵用哈希值搭建起来的树,树的所有节点都存储了哈希值,所以也叫哈希树。
Merkle Tree 的节点构成
叶节点
每个数据块进行哈希运算后,得到的哈希值就是叶节点。在比特币中,对于一个区块而言,每一笔交易数据进行哈希之后的结果就是叶节点。
中间节点
子节点两两匹配,子节点哈希值合并成新的字符串,对合并结果再次进行哈希运算,得到的哈希值,就是对应的中间节点。
根节点
有且只有一个,不断Hash之后的最终结果,也叫
MerkleRoot,这是终止节点。比特币的每个block中的数据就有MerkleRoot。
Merkle Tree 的特点
首先是它的树的结构,
Merkle Tree常见的结构是二叉树,但它也可以是多叉树,它具有树结构的全部特点。Merkle Tree的基础数据不是固定的,想存什么数据由你说了算,因为它只要数据经过哈希运算得到的Hash值。Merkle Tree是从下往上逐层计算的,就是说每个中间节点,都是根据相邻的两个叶子节点组合计算得出的,而根节点是根据两个中间节点组合计算得出的,所以叶子节点是基础。
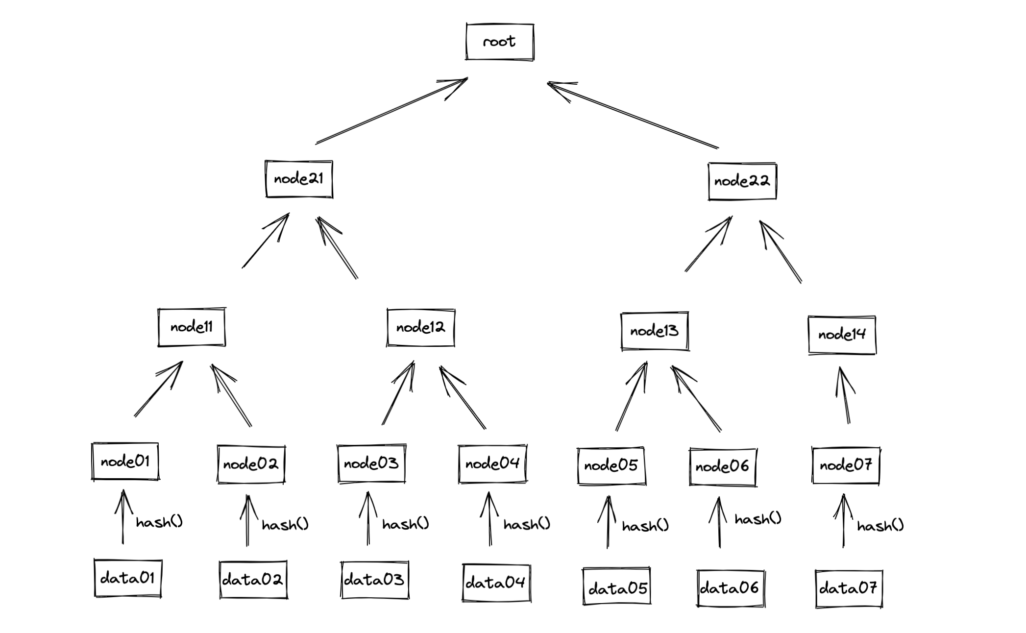
如何构造一棵 Merkle Tree
1. 建立 Merkle Tree

- 初始有7个数据块
- 分别对数据块做
hash运算,node01=hash(data01) - 相邻两个
hash块串联,然后继续做hash运算,重复这个操作,直到生成MerkleRoot
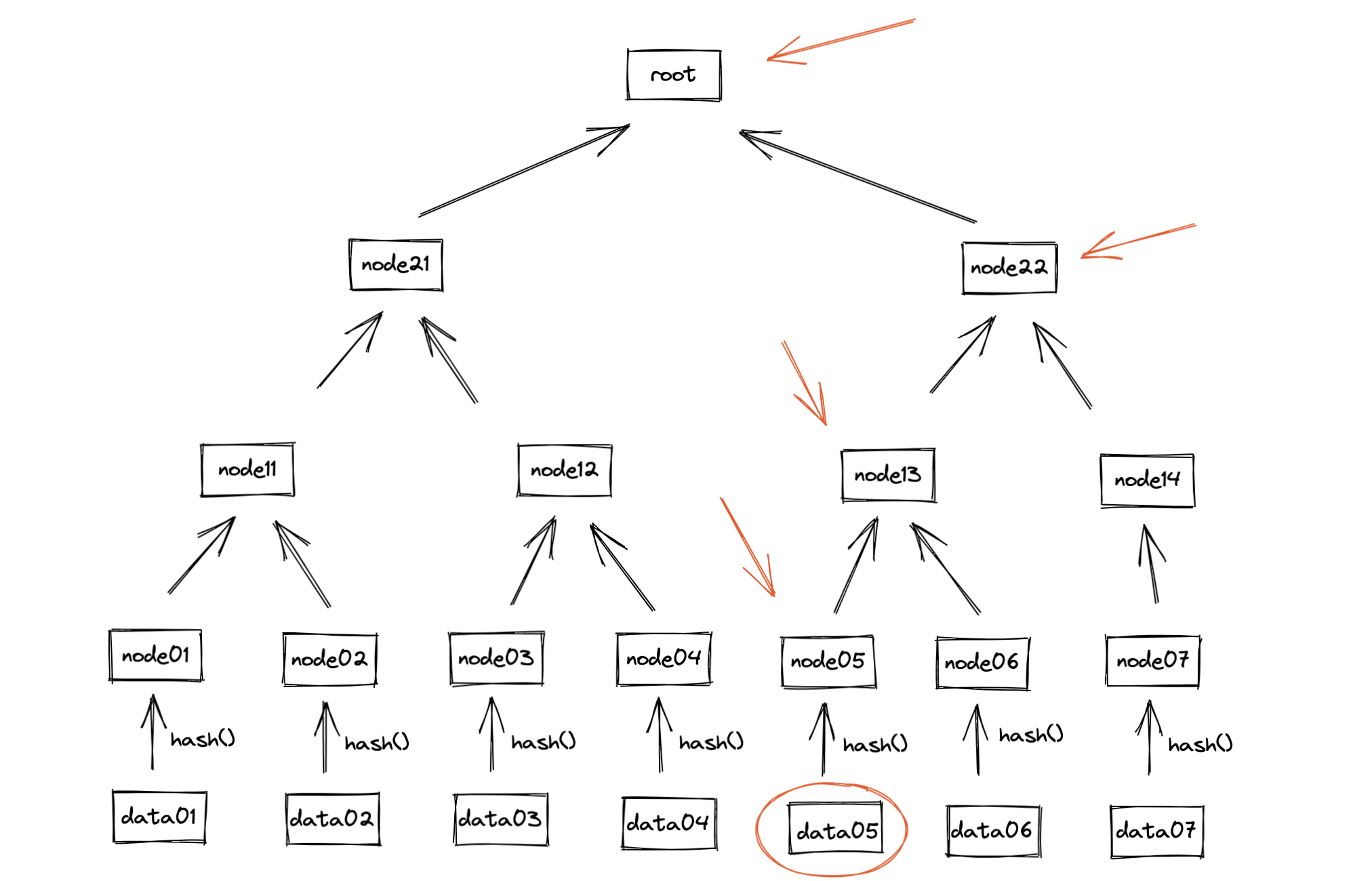
2. 检索不同的数据块
对于 Bitcoin ,只需要知道 MerkleRoot 是否一致即可判断 tx 是否被篡改。同理,如果想知道具体哪个数据被篡改,使用 MerkleTree 也非常方便。假设有 7 个数据块从服务器 A 同步数据到服务器 B ,需要知道中间是否有数据同步错误。
- 首先,分别构造
MerkleTree - 比较
root节点,如果不同,检索其孩子节点node21和node22 - 重复比较,直到发现是叶子节点
node05不同,则说明是data05的数据同步错误

在比特币中,Merkle Tree 验证交易的方式于此相反,从叶子节点验证到根节点。
Bitcoin 构造的 Merkle Tree
height=1
1 | { |
创世区块中因为只有一个 tx ,所以自然 merkleroot 和叶子节点 tx 的数据相同。
height=181
查看
block信息1
2
3
4
5
6
7
8
9
10
11
12
13
14
15
16
17
18
19
20
21
22
23
24
25
26
27
28{
"result":{
"hash":"00000000dc55860c8a29c58d45209318fa9e9dc2c1833a7226d86bc465afc6e5",
"confirmations":690794,
"strippedsize":490,
"size":490,
"weight":1960,
"height":181,
"version":1,
"versionHex":"00000001",
"merkleroot":"ed92b1db0b3e998c0a4351ee3f825fd5ac6571ce50c050b4b45df015092a6c36",
"tx":[
"8347cee4a1cb5ad1bb0d92e86e6612dbf6cfc7649c9964f210d4069b426e720a",
"a16f3ce4dd5deb92d98ef5cf8afeaf0775ebca408f708b2146c4fb42b41e14be"
],
"time":1231740133,
"mediantime":1231735142,
"nonce":792669465,
"bits":"1d00ffff",
"difficulty":1,
"chainwork":"000000000000000000000000000000000000000000000000000000b600b600b6",
"nTx":2,
"previousblockhash":"00000000b5ef0ea215becad97402ce59d1416fe554261405cda943afd2a8c8f2",
"nextblockhash":"0000000054487811fc4ff7a95be738aa5ad9320c394c482b27c0da28b227ad5d"
},
"error":null,
"id":"0"
}对
tx翻转bytes(从小端到大端)python翻转程序:1
2
3
4
5
6
7#!/usr/bin/env python
line = raw_input("Input original hex string\n")
n = 2
orig_list = [line[i:i+n] for i in range(0, len(line), n)]
reversed_list = orig_list[::-1]
reversed = ''.join(reversed_list)
print reversed1
28347cee4a1cb5ad1bb0d92e86e6612dbf6cfc7649c9964f210d4069b426e720a ->
0a726e429b06d410f264999c64c7cff6db12666ee8920dbbd15acba1e4ce47831
2a16f3ce4dd5deb92d98ef5cf8afeaf0775ebca408f708b2146c4fb42b41e14be ->
be141eb442fbc446218b708f40caeb7507affe8acff58ed992eb5ddde43c6fa1
链接两个结果并计算
sha256 digest1
2
3printf "0a726e429b06d410f264999c64c7cff6db12666ee8920dbbd15acba1e4ce4783be141eb442fbc446218b708f40caeb7507affe8acff58ed992eb5ddde43c6fa1" | xxd -r -p | openssl sha256
4bb234b71d205dba7936c5e6241e1666479e56f0e370e7725de2c99e6cf5de81对结果再进行
sha256操作1
2
3printf "4bb234b71d205dba7936c5e6241e1666479e56f0e370e7725de2c99e6cf5de81" | xxd -r -p | openssl sha256
366c2a0915f05db4b450c050ce7165acd55f823fee51430a8c993e0bdbb192ed
最后,将顺序从小到大颠倒
1
2366c2a0915f05db4b450c050ce7165acd55f823fee51430a8c993e0bdbb192ed ->
ed92b1db0b3e998c0a4351ee3f825fd5ac6571ce50c050b4b45df015092a6c36最终结果
ed92b1db0b3e998c0a4351ee3f825fd5ac6571ce50c050b4b45df015092a6c36和"merkleroot":"ed92b1db0b3e998c0a4351ee3f825fd5ac6571ce50c050b4b45df015092a6c36"一致
Merkle Tree 的作用
校验文件完整性,比如
P2P网络在
P2P网路中,MerkleTree用来确保从其他节点接受的资料块没有损坏且没有被替换,甚至检查其他节点不会欺骗或者释出虚假的块。快速比较大量数据
当两个
MerkleTree树根相同时,则意味着所代表的数据必然相同。BitCoin
这样做的好处,也就是中本聪描述到的“简化支付验证”(
Simplified Payment Verification,SPV)的概念:一个“轻客户端”(light client)可以仅下载链的区块头即每个区块中的80byte的资料块,仅包含五个元素,而不是下载每一笔交易以及每一个区块:上一区块头的哈希值
时间戳
挖矿难度值
工作量证明随机数(
nonce)包含该区块交易的
MerkleTree的root值如果客户端想要确认一个交易的状态,它只需简单的发起一个
Merkleproof请求,这个请求显示出这个特定的交易在Merkletrees的一个之中,而且这个MerkleTree的树根在主链的一个区块头中。